
Rupture Disc Sizing
임직원 모두 하나 된 마음으로 신뢰가 기본인 회사를 만들어 갑니다.
| 公式 |
|
||
|---|---|---|---|
| 术语 定义 |
A | 所需排放面积 | [in²] |
| W | 所需排放容量 | [lb/h] | |
| C | 入口排放温度下比热比 k 的函数 | - | |
| K | 排放系数 | - | |
| P | 排放压力 (Pset + allowable pressure + Patm) | [psia] | |
| T | 温度 | [°R] | |
| Z | 压缩系数 | - | |
| M | 分子量 | - | |
| 公式 |
|
||
|---|---|---|---|
| 术语 定义 |
A | 所需排放面积 | [in²] |
| C | 2,407 | - | |
| K | 排放系数 | - | |
| Wt | 所需流量 | [lb/h] | |
| ρ | 液体密度 | [lb/ft³] | |
| P | 排放压力 Pset + allowable pressure + Patm | [psia] | |
| Pd | 背压 | [psia] | |
| 公式 |
|
||
|---|---|---|---|
| 术语 定义 |
A | 所需排放面积 | [in²] |
| P | 排放压力 Pset + allowable pressure + Patm | [psia] | |
| K | 排放系数 | - | |
| W | 所需流量 | [lb/h] | |
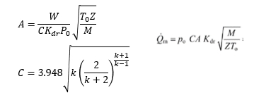
| 公式 |
|
||
|---|---|---|---|
| 术语 定义 |
A | 所需排放面积 | [mm²] |
| W | 所需排放容量 | [kg/h] | |
| C | 入口排放温度下比热比 k 的函数 | - | |
| K | 排放系数 | - | |
| P | 排放压力 Pset + allowable pressure + Patm | [bar.a] | |
| T | 温度 | K | |
| Z | 压缩系数 | - | |
| M | 分子量 | - | |
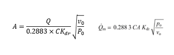
| 公式 |
|
||
|---|---|---|---|
| 术语 定义 |
A | 所需排放面积 | [mm²] |
| Kdr | 排放系数 | - | |
| Kv | 粘度系数 | - | |
| Q | 所需流量 | [kg/h] | |
| v0 | 液体比体积 | [m³/kg] | |
| P0 | 排放压力 (Pset + allowable pressure + Patm) | [bar.a] | |
| Pb | 背压 (Back Pressure) | [bar.a] | |
| 公式 |
|
||
|---|---|---|---|
| 术语 定义 |
A | 所需排放面积 | [mm²] |
| P0 | 排放压力 Pset + allowable pressure + Patm | [bar.a] | |
| Kdr | 排放系数 | - | |
| C | 入口排放温度下比热比 k 的函数,2.656 | - | |
| v0 | 蒸汽比体积 | [m³/kg] | |
| Q | 所需流量 | [kg/h] | |
| 公式 |
|
||
|---|---|---|---|
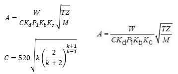
| 术语 定义 |
A | 所需排放面积 | [in²] |
| W | 所需排放量 | [lb/h] | |
| C | 入口排放温度下比热比 k 的函数 | - | |
| Kd | 排放系数 | - | |
| P1 | 排放压力 (Pset + allowable pressure + Patm) | [psia] | |
| Kb | 背压系数 | - | |
| Kc | 组合系数 | - | |
| T | 温度 | [°R] | |
| Z | 压缩系数 | - | |
| M | 分子量 | - | |
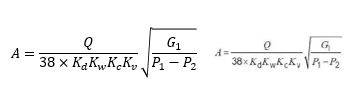
| 公式 |
|
||
|---|---|---|---|
| 术语 定义 |
A | 所需排放面积 | [in²] |
| Kd | 排放系数 | - | |
| Kw | 背压系数 | - | |
| Kc | 组合系数 | - | |
| Kv | 粘度系数 | - | |
| Q | 所需排放量 | [gal/min] | |
| G1 | 液体比重 | - | |
| P1 | 排放压力. Pset + allowable pressure + Patm | [psia] | |
| P2 | 背压 | [psia] | |
| 公式 |
|
||
|---|---|---|---|
| 术语 定义 |
A | 所需排放面积 | [in²] |
| P1 | 排放压力. Pset + allowable pressure + Patm | [psia] | |
| Kd | 排放系数 | - | |
| Kb | 背压系数 | - | |
| Kc | 组合系数 | - | |
| KN | Napier公式系数 | - | |
| KSH | 过热蒸汽修正系数 | - | |
| W | 所需流量 | [lb/h] | |
| 名称 | 化学式 | 分子量(M) | 绝热指数(k) |
|---|---|---|---|
| 乙炔 (Acetylene) | C2H2 | 26.04 | 1.26 |
| 空气 (Air) | 28.97 | 1.40 | |
| 氨 (Ammonia) | NH2 | 17.03 | 1.31 |
| 氩 (Argon) | Ar | 39.95 | 1.67 |
| 丁二烯 (Butadiene) | C4H6 | 54.09 | 1.113 |
| 苯 (Benzene) | C6H6 | 78.12 | 1.12 |
| 异丁烷 (iso-Butane) | iso-C4H10 or CH(CH3)3 | 58.12 | 1.10 |
| 正丁烷 (n-Butane) | n-C4H10 | 58.12 | 1.09 |
| 二硫化碳 (Carbon disulfide) | CS2 | 76.14 | 1.21 |
| 二氧化碳 (Carbon dioxide) | CO2 | 44.01 | 1.29 |
| 一氧化碳 (Carbon monoxide) | CO | 28.01 | 1.40 |
| 氯气 (Chlorine) | Cl2 | 70.91 | 1.36 |
| 环己烷 (Cyclohexane) | C6H12 | 84.16 | 1.09 |
| 正癸烷 (n-Decane) | n-C10H22 | 142.29 | 1.03 |
| 乙烷 (Ethane) | C2H6 | 30.07 | 1.19 |
| 乙醇 (Ethyl alcohol) | C2H5OH or C2H6O | 46.07 | |
| 乙烯 (Ethylene) | C2H4 | 28.05 | 1.24 |
| 氦 (Helium) | He | 4.00 | 1.66 |
| 正庚烷 (n-Heptane) | n-CH3(CH2)5CH3 or C7H16 | 100.21 | 1.05 |
| 正己烷 (n-Hexane) | n-C6H14 | 86.18 | 1.06 |
| 氯化氢(无水) (Hydrogen chloride) |
HCl | 36.46 | 1.41 |
| 氢气 (Hydrogen) | H2 | 2.02 | 1.41 |
| 硫化氢 (Hydrogen sulfide) | H2S | 34.08 | 1.32 |
| 二氯二氟甲烷(R12) Dichloro difluoro methane) |
CCl2F2 | 120.91 | 1.139 |
| 甲烷 (Methane) | CH4 | 16.04 | 1.31 |
| 乙醇 (Ethyl alcohol) | CH3OH or CH4O | 32.04 | 1.20 |
| 氯甲烷 (Methyl chloride) | CH3OH or CH4O | 50.49 | 1.20 |
| 氮气 (Nitrogen) | N2 | 28.01 | 1.40 |
| 一氧化二氮 (Nitrous oxide) | N2O | 44.01 | 1.30 |
| 正壬烷 (n-Nonane) | n-CH3(CH2)7CH3 or C9H20 | 128.26 | 1.04 |
| 氧气 (Oxygen) | O2 | 32.00 | 1.40 |
| 正戊烷 (n-Pentane) | n-CH3(CH2)3CH3 or C5H12 | 72.15 | 1.07 |
| 正丙烷 (n-Propane) | n-CH3CH2CH3 or C3H8 | 44.10 | 1.13 |
| 水蒸气(蒸馏水, 纯水) (Water) | H2O | 18.02 | 1.133 |
| 二氧化硫 (Sulfur dioxide) | SO2 or O2S | 64.06 | 1.29 |
| 甲苯 (Toluene) | C6H5CH3 or C7H8 | 92.15 | 1.09 |
| 丙烯 (Propylene) | CH3CHCH2 or C3H6 | 42.08 | 1.15 |
| 辛烷 (Octane) | CH3(CH2)6CH3 or C8H18 | 114.00 | 1.05 |