
Rupture Disc Sizing
임직원 모두 하나 된 마음으로 신뢰가 기본인 회사를 만들어 갑니다.
| 식 |
|
||
|---|---|---|---|
| 용어 정의 |
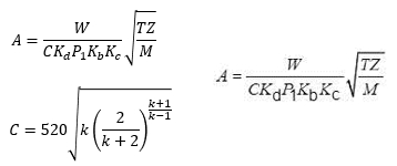
A | 요구 배출 면적 | [in²] |
| W | 요구 배출 용량 | [lb/h] | |
| C | 입구의 배출 온도에서의 비열비 k의 함수 | - | |
| K | 방출계수 | - | |
| P | 배출 압력 (Pset + allowable pressure + Patm) | [psia] | |
| T | 온도 | [°R] | |
| Z | 압축계수 | - | |
| M | 분자량 | - | |
| 식 |
|
||
|---|---|---|---|
| 용어 정의 |
A | 요구 배출 면적 | [in²] |
| C | 2,407 | - | |
| K | 방출 계수 | - | |
| Wt | 요구 유량 | [lb/h] | |
| ρ | 액체의 밀도 | [lb/ft³] | |
| P | 배출 압력 Pset + allowable pressure + Patm | [psia] | |
| Pd | 역압 | [psia] | |
| 식 |
|
||
|---|---|---|---|
| 용어 정의 |
A | 요구 배출 면적 | [in²] |
| P | 배출 압력 Pset + allowable pressure + Patm | [psia] | |
| K | 방출 계수 | - | |
| W | 요구 유량 | [lb/h] | |
| 식 |
|
||
|---|---|---|---|
| 용어 정의 |
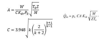
A | 요구 배출 면적 | [mm²] |
| W | 요구 배출 용량 | [kg/h] | |
| C | 입구의 배출 온도에서의 비열비 k의 함수 | - | |
| K | 방출계수 | - | |
| P | 배출 압력 Pset + allowable pressure + Patm | [bar.a] | |
| T | 온도 | K | |
| Z | 압축계수 | - | |
| M | 분자량 | - | |
| 식 |
|
||
|---|---|---|---|
| 용어 정의 |
A | 요구 배출 면적 | [mm²] |
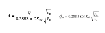
| Kdr | 방출 계수 | - | |
| Kv | 점도 계수 | - | |
| Q | 요구 유량 | [kg/h] | |
| v0 | 액체의 비체적 | [m³/kg] | |
| P0 | 배출 압력 (Pset + allowable pressure + Patm) | [bar.a] | |
| Pb | 역압 (Back Pressure) | [bar.a] | |
| 식 |
|
||
|---|---|---|---|
| 용어 정의 |
A | 요구 배출 면적 | [mm²] |
| P0 | 배출 압력. Pset + allowable pressure + Patm | [bar.a] | |
| Kdr | 방출 계수 | - | |
| C | 입구의 배출 온도에서의 비열비 k의 함수, 2.656 | - | |
| v0 | 증기의 비체적 | [m³/kg] | |
| Q | 요구 유량 | [kg/h] | |
| 식 |
|
||
|---|---|---|---|
| 용어 정의 |
A | 요구 배출 면적 | [in²] |
| W | 요구 배출 용량 | [lb/h] | |
| C | 입구의 배출 온도에서의 비열비 k의 함수 | - | |
| Kd | 방출 계수 | - | |
| P1 | 배출 압력 (Pset + allowable pressure + Patm) | [psia] | |
| Kb | 역압 계수 | - | |
| Kc | 컴비네이션 계수 | - | |
| T | 온도 | [°R] | |
| Z | 압축계수 | - | |
| M | 분자량 | - | |
| 식 |
|
||
|---|---|---|---|
| 용어 정의 |
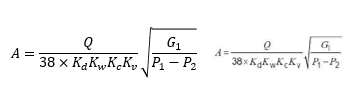
A | 요구 배출 면적 | [in²] |
| Kd | 방출 계수 | - | |
| Kw | 역압 계수 | - | |
| Kc | 컴비네이션 계수 | - | |
| Kv | 점도 계수 | - | |
| Q | 요구 배출 용량 | [gal/min] | |
| G1 | 액체의 비중 | - | |
| P1 | 배출 압력. Pset + allowable pressure + Patm | [psia] | |
| P2 | 역압 | [psia] | |
| 식 |
|
||
|---|---|---|---|
| 용어 정의 |
A | 요구 배출 면적 | [in²] |
| P1 | 배출 압력. Pset + allowable pressure + Patm | [psia] | |
| Kd | 방출 계수 | - | |
| Kb | 역압 계수 | - | |
| Kc | 컴비네이션 계수 | - | |
| KN | Napier식 계수 | - | |
| KSH | 과열증기 보정 계수 | - | |
| W | 요구 유량 | [lb/h] | |
| 명칭 | 화학식 | 분자량(M) | 단열지수(k) |
|---|---|---|---|
| 아세틸렌 (Acetylene) | C2H2 | 26.04 | 1.26 |
| 공기 (Air) | 28.97 | 1.40 | |
| 암모니아 (Ammonia) | NH2 | 17.03 | 1.31 |
| 아르곤 (Argon) | Ar | 39.95 | 1.67 |
| 부타디엔 (Butadiene) | C4H6 | 54.09 | 1.113 |
| 벤젠 (Benzene) | C6H6 | 78.12 | 1.12 |
| 아소부탄 (iso-Butane) | iso-C4H10 or CH(CH3)3 | 58.12 | 1.10 |
| 노멀부탄 (n-Butane) | n-C4H10 | 58.12 | 1.09 |
| 이황화탄소 (Carbon disulfide) | CS2 | 76.14 | 1.21 |
| 이산화탄소 (Carbon dioxide) | CO2 | 44.01 | 1.29 |
| 일산화탄소 (Carbon monoxide) | CO | 28.01 | 1.40 |
| 염소 (Chlorine) | Cl2 | 70.91 | 1.36 |
| 시클로헥산 (Cyclohexane) | C6H12 | 84.16 | 1.09 |
| 노멀데칸 (n-Decane) | n-C10H22 | 142.29 | 1.03 |
| 에탄 (Ethane) | C2H6 | 30.07 | 1.19 |
| 에틸알콜 (Ethyl alcohol) | C2H5OH or C2H6O | 46.07 | |
| 에틸렌 (Ethylene) | C2H4 | 28.05 | 1.24 |
| 헬륨 (Helium) | He | 4.00 | 1.66 |
| 노멀헵탄 (n-Heptane) | n-CH3(CH2)5CH3 or C7H16 | 100.21 | 1.05 |
| 노멀헥산 (n-Hexane) | n-C6H14 | 86.18 | 1.06 |
| 노멀헥산(염산, 무수) (Hydrogen chloride) |
HCl | 36.46 | 1.41 |
| 수소 (Hydrogen) | H2 | 2.02 | 1.41 |
| 황화수소 (Hydrogen sulfide) | H2S | 34.08 | 1.32 |
| 디클로로플루오르메탄(R12) Dichloro difluoro methane) |
CCl2F2 | 120.91 | 1.139 |
| 메탄 (Methane) | CH4 | 16.04 | 1.31 |
| 에틸알콜 (Ethyl alcohol) | CH3OH or CH4O | 32.04 | 1.20 |
| 염화메틸 (Methyl chloride) | CH3OH or CH4O | 50.49 | 1.20 |
| 질소 (Nitrogen) | N2 | 28.01 | 1.40 |
| 이산화질소 (Nitrous oxide) | N2O | 44.01 | 1.30 |
| 노멀노난 (n-Nonane) | n-CH3(CH2)7CH3 or C9H20 | 128.26 | 1.04 |
| 산소 (Oxygen) | O2 | 32.00 | 1.40 |
| 노멀펜탄 (n-Pentane) | n-CH3(CH2)3CH3 or C5H12 | 72.15 | 1.07 |
| 노멀프로판 (n-Propane) | n-CH3CH2CH3 or C3H8 | 44.10 | 1.13 |
| 수증기(증류수, 순수) (Water) | H2O | 18.02 | 1.133 |
| 이산화황 (Sulfur dioxide) | SO2 or O2S | 64.06 | 1.29 |
| 톨루엔 (Toluene) | C6H5CH3 or C7H8 | 92.15 | 1.09 |
| 프로필렌 (Propylene) | CH3CHCH2 or C3H6 | 42.08 | 1.15 |
| 옥탄 (Octane) | CH3(CH2)6CH3 or C8H18 | 114.00 | 1.05 |