
Rupture Disc Sizing
임직원 모두 하나 된 마음으로 신뢰가 기본인 회사를 만들어 갑니다.
| Equation |
|
||
|---|---|---|---|
| Term Definition |
A | Required discharge area | [in²] |
| W | Required discharge capacity | [lb/h] | |
| C | Function of k at discharge temperature | - | |
| K | Discharge coefficient | - | |
| P | Discharge pressure (Pset + allowable pressure + Patm) | [psia] | |
| T | Temperature | [°R] | |
| Z | Compressibility factor | - | |
| M | Molecular weight | - | |
| Equation |
|
||
|---|---|---|---|
| Term Definition |
A | Required discharge area | [in²] |
| C | 2,407 | - | |
| K | Discharge coefficient | - | |
| Wt | Required flow rate | [lb/h] | |
| ρ | Liquid density | [lb/ft³] | |
| P | Discharge pressure (Pset + allowable pressure + Patm) | [psia] | |
| Pd | Back pressure | [psia] | |
| Equation |
|
||
|---|---|---|---|
| Term Definition |
A | Required discharge area | [in²] |
| P | Discharge pressure (Pset + allowable pressure + Patm) | [psia] | |
| K | Discharge coefficient | - | |
| W | Required flow rate | [lb/h] | |
| Equation |
|
||
|---|---|---|---|
| Term Definition |
A | Required discharge area | [mm²] |
| W | Required discharge capacity | [kg/h] | |
| C | Function of k at discharge temperature | - | |
| K | Discharge coefficient | - | |
| P | Discharge pressure (Pset + allowable pressure + Patm) | [bar.a] | |
| T | Temperature | K | |
| Z | Compressibility factor | - | |
| M | Molecular weight | - | |
| Equation |
|
||
|---|---|---|---|
| Term Definition |
A | Required discharge area | [mm²] |
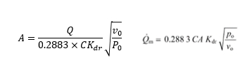
| Kdr | Discharge coefficient | - | |
| Kv | Viscosity coefficient | - | |
| Q | Required flow rate | [kg/h] | |
| v0 | Specific volume of liquid | [m³/kg] | |
| P0 | Discharge pressure (Pset + allowable pressure + Patm) | [bar.a] | |
| Pb | Back pressure | [bar.a] | |
| Equation |
|
||
|---|---|---|---|
| Term Definition |
A | Required discharge area | [mm²] |
| P0 | Discharge pressure (Pset + allowable pressure + Patm) | [bar.a] | |
| Kdr | Discharge coefficient | - | |
| C | Function of k at discharge temperature, 2.656 | - | |
| v0 | Specific volume of steam | [m³/kg] | |
| Q | Required flow rate | [kg/h] | |
| Equation |
|
||
|---|---|---|---|
| Term Definition |
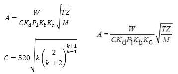
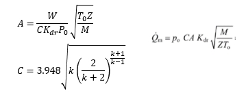
A | Required discharge area | [in²] |
| W | Required discharge capacity | [lb/h] | |
| C | Function of k at discharge temperature | - | |
| Kd | Discharge coefficient | - | |
| P1 | Discharge pressure (Pset + allowable pressure + Patm) | [psia] | |
| Kb | Back pressure coefficient | - | |
| Kc | Combination coefficient | - | |
| T | Temperature | [°R] | |
| Z | Compressibility factor | - | |
| M | Molecular weight | - | |
| Equation |
|
||
|---|---|---|---|
| Term Definition |
A | Required discharge area | [in²] |
| Kd | Discharge coefficient | - | |
| Kw | Back pressure coefficient | - | |
| Kc | Combination coefficient | - | |
| Kv | Viscosity coefficient | - | |
| Q | Required discharge capacity | [gal/min] | |
| G1 | Specific gravity of liquid | - | |
| P1 | Discharge pressure (Pset + allowable pressure + Patm) | [psia] | |
| P2 | Back pressure | [psia] | |
| Equation |
|
||
|---|---|---|---|
| Term Definition |
A | Required discharge area | [in²] |
| P1 | Discharge pressure (Pset + allowable pressure + Patm) | [psia] | |
| Kd | Discharge coefficient | - | |
| Kb | Back pressure coefficient | - | |
| Kc | Combination coefficient | - | |
| KN | Napier coefficient | - | |
| KSH | Superheated steam correction coefficient | - | |
| W | Required flow rate | [lb/h] | |
| Name | Chemical Formula | Molecular Weight (M) | Adiabatic Index (k) |
|---|---|---|---|
| Acetylene | C2H2 | 26.04 | 1.26 |
| Air | 28.97 | 1.40 | |
| Ammonia | NH2 | 17.03 | 1.31 |
| Argon | Ar | 39.95 | 1.67 |
| Butadiene | C4H6 | 54.09 | 1.113 |
| Benzene | C6H6 | 78.12 | 1.12 |
| iso-Butane | iso-C4H10 or CH(CH3)3 | 58.12 | 1.10 |
| n-Butane | n-C4H10 | 58.12 | 1.09 |
| Carbon disulfide | CS2 | 76.14 | 1.21 |
| Carbon dioxide | CO2 | 44.01 | 1.29 |
| Carbon monoxide | CO | 28.01 | 1.40 |
| Chlorine | Cl2 | 70.91 | 1.36 |
| Cyclohexane | C6H12 | 84.16 | 1.09 |
| n-Decane | n-C10H22 | 142.29 | 1.03 |
| Ethane | C2H6 | 30.07 | 1.19 |
| Ethyl alcohol | C2H5OH or C2H6O | 46.07 | |
| Ethylene | C2H4 | 28.05 | 1.24 |
| Helium | He | 4.00 | 1.66 |
| n-Heptane | n-CH3(CH2)5CH3 or C7H16 | 100.21 | 1.05 |
| n-Hexane | n-C6H14 | 86.18 | 1.06 |
| Anhydrous Hydrogen chloride (Hydrogen chloride) |
HCl | 36.46 | 1.41 |
| Hydrogen | H2 | 2.02 | 1.41 |
| Hydrogen sulfide | H2S | 34.08 | 1.32 |
| Dichlorodifluoromethane (R12) | CCl2F2 | 120.91 | 1.139 |
| Methane | CH4 | 16.04 | 1.31 |
| Methanol | CH3OH or CH4O | 32.04 | 1.20 |
| Methyl chloride | CH3Cl | 50.49 | 1.20 |
| Nitrogen | N2 | 28.01 | 1.40 |
| Nitrous oxide | N2O | 44.01 | 1.30 |
| n-Nonane | n-CH3(CH2)7CH3 or C9H20 | 128.26 | 1.04 |
| Oxygen | O2 | 32.00 | 1.40 |
| n-Pentane | n-CH3(CH2)3CH3 or C5H12 | 72.15 | 1.07 |
| n-Propane | n-CH3CH2CH3 or C3H8 | 44.10 | 1.13 |
| Water vapor (pure) | H2O | 18.02 | 1.133 |
| Sulfur dioxide | SO2 or O2S | 64.06 | 1.29 |
| Toluene | C6H5CH3 or C7H8 | 92.15 | 1.09 |
| Propylene | CH3CHCH2 or C3H6 | 42.08 | 1.15 |
| Octane | CH3(CH2)6CH3 or C8H18 | 114.00 | 1.05 |